1. 표본추출분포
- 모집단에서 확률적으로 추출된 표본으로부터 산출된 통계량을 따르는 확률분포
표본추출이 독립적으로 무한히 반복되는 상황에서 통계량은 일정한 확률 분포를 따르게 되는 것
* 전국의 만19세 남자의 키
평균 μ과 표준편차 λ인 정규분포를 따르는 경우
임의의 100명 추출하면 100명의 표본 평균은 모평균μ으로 기대됨 (임의 표본평균은 기대되는 값과 동일한 값이 될 수도 있고 아닐 수도 있음)
- 모집단에서 추출된 100명의 평균들은 모평균μ 근처 값에 주로 있을 것이며 모평균보다 큰 값도 작은 값도 존재
- 100명의 표본평균을 가능한 한 모든 경우를 조사해보면 이들의 분포는 모평균이 μ인 정규분포를 따른다고 알려짐

- 표본평균의 '표준오차'는 모든 경우의 100명의 표본평균이 다른지를 나타낼 수 있음 (평균이 μ이고, 표준편차는 다음과 같이 정규분포를 따름)

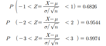
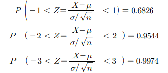
- 표본평균의 분포 특징

- Z의 특징

-평균과 표준오차 및 표본크기가 다르지만 표준화 값은 절댓값 1로, 평균으로부터 2배 표준오차만큼 떨어진 위치는 절댓값 2등으로 나타나는 것을 확인 가능
-이를 통해 표준화 값을 통해 그 값이 속한 집단에서 갖는 상대적인 위치를 알 수 있다는 것을 다시 확인 가능
2. 정규분포를 따르지 않는 경우
- 이론적으로 정립된 '중심극한정리' 적용
- 표본(n)이 충분히 크면 근사적으로 정규분포를 따름 (표본 30 이상)
중심극한정리: 모집단이 정규분포를 따르지 않아도 표본(n)이 충분히 크면 근사적으로 정규분포를 따름
- 표본평균의 분포가 정규분포와 같은 형태로 나타남
- 표본평균의 기댓값 = 모평균 μ

****통계교육원(통계패키지 학습을 위한 필수 통계지식) 참조
'통계학의 이해' 카테고리의 다른 글
| 가설검정 이해 (0) | 2022.08.26 |
|---|---|
| 가설검정 (0) | 2022.08.26 |
| 정규분포와 표준정규분포 (0) | 2022.08.26 |
| 통계 용어 정리 (0) | 2022.08.26 |
| 23. 이항분포와 (표준)정규분포 (0) | 2021.08.16 |
댓글