두 개 이상의 사건이 결합된 사건의 확률 구하기
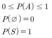
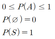
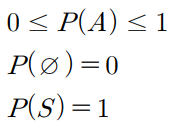
1. 공사건의 경우
-표본점이 하나도 없으므로 고전적 확률의 정의에 의하여 확률은 0이고 표본공간 전체의 확률은 1임
-A ∈ S인 임의의 사건 A에 대한 확률은 0과 1 사이의 값임

2. 덧셈 법칙
| 임의의 두 사건 A와 B가 배반인 경우 | A∪B의 표본점 개수는 각 표본점의 개수의 합과 같음![]() |
| 임의의 두 사건 A와 B가 배반이 아닌 경우 | 적어도 하나의 공통 표본점을 가지므로 중복되는 A∩B안의 표본점의 개수를 빼야 함![]() |
3. 여사건
임의의 사건 A는 여사건과 공통의 표본점을 갖지 않으므로 덧셈 법칙에 의해 다음과 같음

'통계학의 이해' 카테고리의 다른 글
| 23. 이항분포와 (표준)정규분포 (0) | 2021.08.16 |
|---|---|
| 22. 확률분포와 확률질량(밀도)함수 (0) | 2021.08.16 |
| 20. 공분산과 상관계수 (0) | 2021.07.30 |
| 19. 상자그림 (0) | 2021.07.29 |
| 18. 백분위수와 사분위수 (0) | 2021.07.29 |


댓글