1. 확률분포
가. 확률분포
| 이산확률변수의 확률분포 | 이항분포 푸아송분포 이산균등분포 기하분포 초기하분포 |
-확률변수 X가 취하는 값에 대응하는 확률을 나타내는 표, 함수, 그래프를 의미 |
| 연속확률변수의 확률분포 | 균등분포 정규분포 표준정규분포 지수분포 카이제곱분포 t-분포 F-분포 |
-확률표, 확률함수, 확률 히스토그램를 이용하여 나타낼 수 있음
2. 확률질량함수
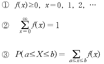
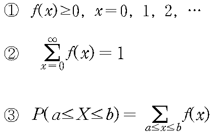
가. 확률질량함수의 정의
-이산확률변수의 확률분포를 나타내는 확률함수
나. 확률질량함수의 성질

3. 확률밀도함수
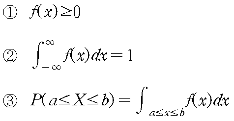
가. 확률밀도함수의 정의
-연속확률변수의 확률분포를 나타내는 확률함수
나. 확률밀도함수의 성질


'통계학의 이해' 카테고리의 다른 글
| 통계 용어 정리 (0) | 2022.08.26 |
|---|---|
| 23. 이항분포와 (표준)정규분포 (0) | 2021.08.16 |
| 21. 확률의 성질 (0) | 2021.07.31 |
| 20. 공분산과 상관계수 (0) | 2021.07.30 |
| 19. 상자그림 (0) | 2021.07.29 |
댓글