1. 확률변수의 개요
가. 확률변수의 정의
-확률 실험결과(표본 공간의 각 표본점)에서 원소에 숫자를 부여하는 규칙이나 함수
-확률 실험결과를 수로 나타내는 것
-모집단에서 관심 있는 변수
나. 확률변수의 특징
-(불확실성) 확률 실험의 불확실성을 효과적으로 표현 및 분석하기 위해 사용
-(모형화) 표본 공간의 원소를 숫자로 바꾸어 불확실한 현상을 수리적으로 모형화 가능
-(상태 공간) 확률변수 X가 취할 수 있는 모든 수의 집합 Sx로 표시
*아이를 둘 낳는 경우(확률적 실험)를 생각하자.
여기에서 표본 공간은 S = {BB, BG, GB, GG}, B : 아들, G : 딸
관심 1: 아들의 수를 확률변수 X라 하면,
X(BB) = 2, X(BG) = X(GB) = 1, X(GG) = 0으로 표본 공간의 원소를 숫자로 대응
관심 2: 아들이 있는지 여부를 Y라 하면,
Y(BB) = Y(BG) = Y(GB) = 1, Y(GG) = 0으로 표본 공간의 원소를 숫자로 대응
다. 확률변수의 종류
| 구분 | 특징 | 설명 |
| 이산 확률변수 | -상태공간이 유한개의 수로 구성 -무수히 많더라도 셈할 수 있는 경우 -1,2,3, 등 셀 수 있는 정수값을 취하는 경우 (신생아 수, 고객 수) |
-확률변수 X가 취할 수 있는 값(셈할 수 있는 값) |
| 연속 확률변수 | -상태공간이 어떤 구간으로 나타나는 확률변수 (사람의 키, 몸무게) |
-확률변수가 취할 수 있는 모든 값 |
2. 이산 확률변수와 연속 확률변수의 기댓값
가. 이산 확률변수의 기댓값

| 구분 | 특징 | 설명 |
| 평균 | ![]() |
-X의 평균 또는 기댓값 -X가 가질 수 있는 모든 값에 대한 합 -표본평균=관측값 x 표본비율 ![]() |
| 분산 표준편차 |
![]() |
![]() |
-표본의 크기 n을 크게 하면 통계학적 관점에서 볼 때, 표본은 모집단으로, 표본비율 Pi은 확률 질량 함수 f(xi)로, 표본 평균 x'(바)는 모평균(μ)으로 수렴할 것임
나. 연속 확률변수의 기댓값
| 구분 | 특징 | 설명 |
| 평균 | ![]() |
![]() |
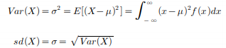
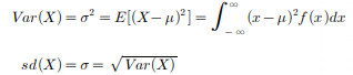
| 분산 표준편차 |
![]() |
![]() |
'통계학의 이해' 카테고리의 다른 글
| 11. 표본분포 (0) | 2021.07.17 |
|---|---|
| 10. 베르누이 실험과 분포 (0) | 2021.07.17 |
| 08. 조건부 확률 (0) | 2021.07.13 |
| 07. 곱셈법칙과 순열, 조합 (0) | 2021.07.13 |
| 06. 확률의 개요 (0) | 2021.07.13 |








댓글