가. 베르누이 실험의 정의
-동전의 앞/뒤, 스위치 On/Off, 양품/불량품 등과 같이 두가지 결과로 구성된 확률 실험
나. 베르누이 분포의 정의
-성공할 확률이 p라면 실패할 확률이 1-p일 때 성공과 실패를 '1'과 '0'으로 대체하면 확률변수가 되고 이 확률변수의 확률분포를 베르누이 분포라 함 (합격/불합격, 양성/음성, 동전 앞/뒤)

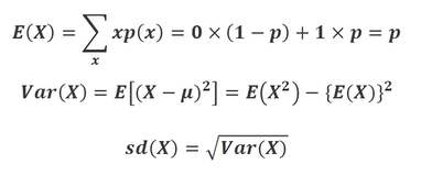
-베르누이 분포의 기댓값과 분산


'통계학의 이해' 카테고리의 다른 글
| 13. 모평균 및 모비율의 신뢰구간 구하기 (0) | 2021.07.18 |
|---|---|
| 11. 표본분포 (0) | 2021.07.17 |
| 09. 확률변수 (0) | 2021.07.13 |
| 08. 조건부 확률 (0) | 2021.07.13 |
| 07. 곱셈법칙과 순열, 조합 (0) | 2021.07.13 |
댓글