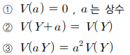
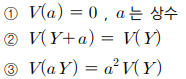
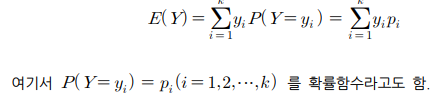
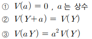
통계학의 이해 기댓값의 개요 by 노벰버맨 2022. 9. 8. 1. 기대값 가. 기댓값의 정의 정의 각 사건이 벌어졌을 때의 이득과 그 사건이 벌어질 확률을 곱한 것을 전체 사건에 대해 합한 값어떤 확률적 사건에 대한 평균의 의미 Y의 기대값 E(Y) 나. 기대값의 성질 2. 분산 가. 나. 분산의 성질 공유하기 게시글 관리 theGAP (SecureDog) 저작자표시 비영리 변경금지 (새창열림) '통계학의 이해' 카테고리의 다른 글 12. 통계적 추론 (추정) (0) 2026.03.08 확률의 개요 (2) 2022.09.08 표본이론 기초 (2) 2022.08.29 가설검정 이해 (0) 2022.08.26 가설검정 (0) 2022.08.26 관련글 12. 통계적 추론 (추정) 확률의 개요 표본이론 기초 가설검정 이해 댓글
댓글