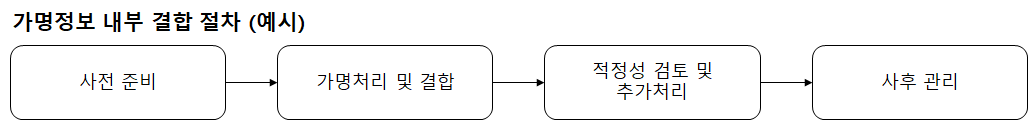
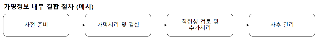
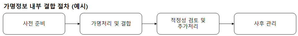
-개인정보처리자는 이미 자신이 보유하고 있는 가명정보를 결합하여 활용 가능

-결합 절차는 개인정보처리자가 자체 수립하여 이행 가능
-상세한 절차는 '가명정보 처리 가이드라인 (21.10.22) III 가명정보 결합 및 반출' 참조

-결합하여 특정개인을 알아볼 수 없도록 유의하여 결합 수행
'(부제) 나는 CISO 이다 > ISMS-P 인증심사' 카테고리의 다른 글
| (ISMS-P) 3.4.1. 개인정보의 파기 (0) | 2021.12.10 |
|---|---|
| (ISMS-P) 3.3.4. 개인정보의 국외이전 (0) | 2021.12.09 |
| 가명정보 처리 단계별 수행 내용 (0) | 2021.12.09 |
| (ISMS-P) 3.3.3. 영업의 양수 등에 따른 개인정보의 이전 (0) | 2021.12.09 |
| (ISMS-P) 3.3.2. 업무 위탁에 따른 정보주체 고지 (0) | 2021.12.09 |
댓글